Официальное опубликование правовых актов
ОФИЦИАЛЬНОЕ ОПУБЛИКОВАНИЕ
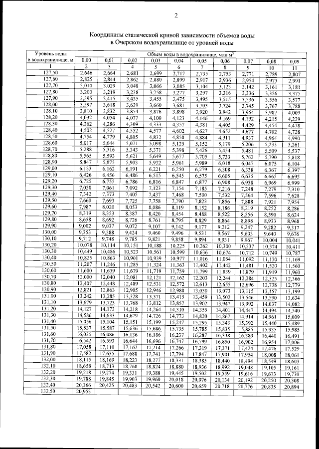
Приказ Федерального агентства водных ресурсов от 10.07.2024 № 174
"Об утверждении Правил использования водных ресурсов Очерского водохранилища"
(Зарегистрирован 19.09.2024 № 79527)
Номер опубликования: 0001202409200025
Дата опубликования: 20.09.2024
Страница №20 из 52:
Увеличить