Официальное опубликование правовых актов
ОФИЦИАЛЬНОЕ ОПУБЛИКОВАНИЕ
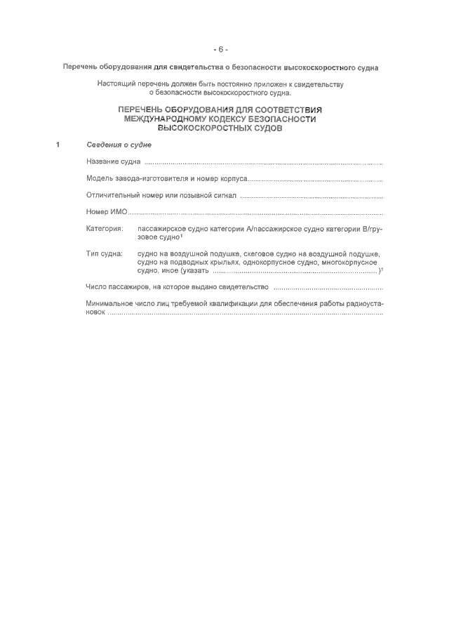
Поправки к Международному кодексу безопасности высокоскоростных судов 1994 года (Кодекс ВС 1994 года), одобренные 28 апреля 2022 года
(вступили в силу для Российской Федерации 1 января 2024 года)
Номер опубликования: 0001202409200016
Дата опубликования: 20.09.2024
Страница №6 из 9:
Увеличить