Официальное опубликование правовых актов
ОФИЦИАЛЬНОЕ ОПУБЛИКОВАНИЕ
Поправки к Приложению к Протоколу 1997 года об изменении Международной конвенции по предотвращению загрязнения с судов 1973 года, измененной Протоколом 1978 года к ней, одобренные 16 декабря 2022 года
(вступили в силу для Российской Федерации 1 мая 2024 года)
Номер опубликования: 0001202409190009
Дата опубликования: 19.09.2024
Страница №3 из 4:
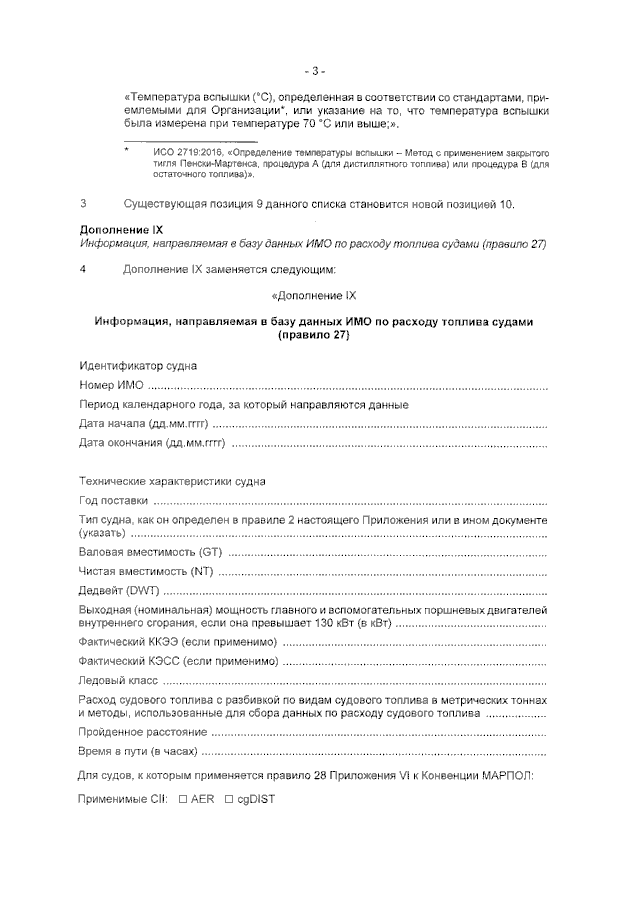
Увеличить