Официальное опубликование правовых актов
ОФИЦИАЛЬНОЕ ОПУБЛИКОВАНИЕ
Приказ Федерального агентства воздушного транспорта от 30.07.2024 № 690-П
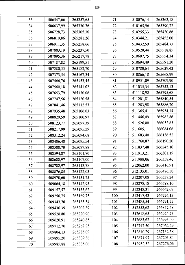
"Об установлении приаэродромной территории аэродрома гражданской авиации Нальчик"
(Зарегистрирован 29.08.2024 № 79315)
Номер опубликования: 0001202408300039
Дата опубликования: 30.08.2024
Страница №190 из 474:
Увеличить