Официальное опубликование правовых актов
ОФИЦИАЛЬНОЕ ОПУБЛИКОВАНИЕ
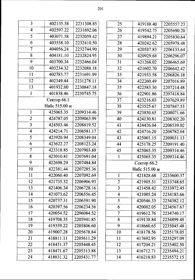
Приказ Федерального агентства воздушного транспорта от 19.07.2024 № 658-П
"Об установлении приаэродромной территории аэродрома гражданской авиации Астрахань (Нариманово)"
(Зарегистрирован 20.08.2024 № 79209)
Номер опубликования: 0001202408210009
Дата опубликования: 21.08.2024
Страница №202 из 266:
Увеличить