Официальное опубликование правовых актов
ОФИЦИАЛЬНОЕ ОПУБЛИКОВАНИЕ
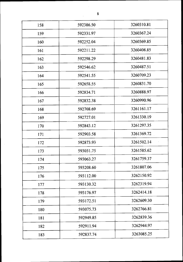
Приказ Министерства природных ресурсов и экологии Российской Федерации от 26.06.2024 № 410
"Об установлении границ охранной зоны государственного природного заповедника "Болоньский", а также об утверждении Положения о данной охранной зоне"
(Зарегистрирован 31.07.2024 № 78974)
Номер опубликования: 0001202408010005
Дата опубликования: 01.08.2024
Страница №9 из 36:
Увеличить