Официальное опубликование правовых актов
ОФИЦИАЛЬНОЕ ОПУБЛИКОВАНИЕ
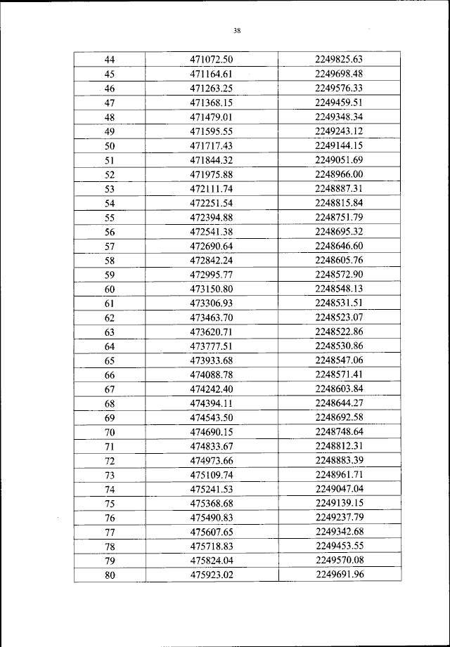
Приказ Федерального агентства воздушного транспорта от 01.07.2024 № 604-П
"Об установлении приаэродромной территории аэродрома гражданской авиации Солдатская Ташла"
(Зарегистрирован 31.07.2024 № 78964)
Номер опубликования: 0001202407310009
Дата опубликования: 31.07.2024
Страница №39 из 78:
Увеличить