Официальное опубликование правовых актов
ОФИЦИАЛЬНОЕ ОПУБЛИКОВАНИЕ
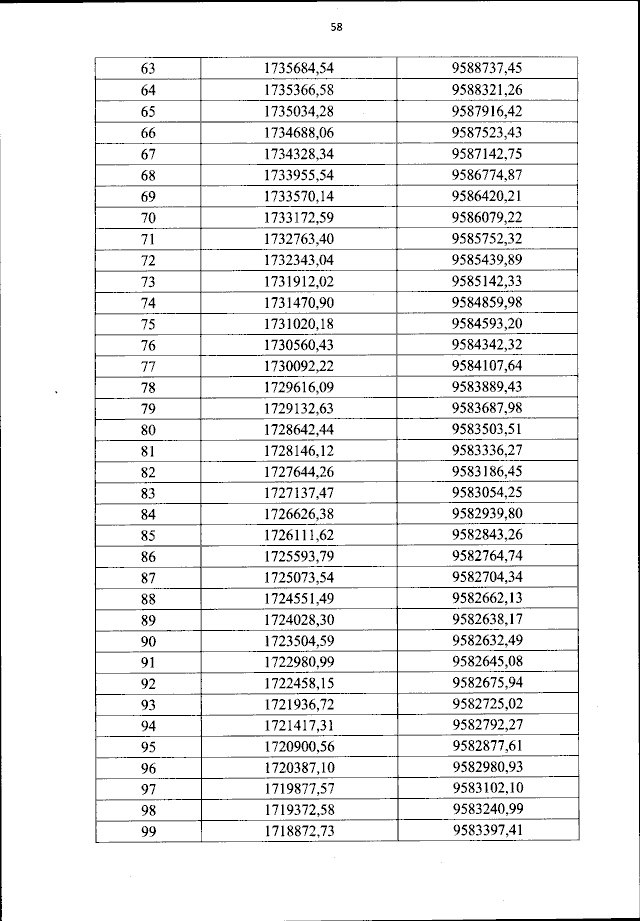
Приказ Федерального агентства воздушного транспорта от 24.06.2024 № 586-П
"Об установлении приаэродромной территории аэродрома гражданской авиации Черский"
(Зарегистрирован 24.07.2024 № 78910)
Номер опубликования: 0001202407250002
Дата опубликования: 25.07.2024
Страница №59 из 76:
Увеличить