Официальное опубликование правовых актов
ОФИЦИАЛЬНОЕ ОПУБЛИКОВАНИЕ
Приказ Федерального агентства воздушного транспорта от 19.06.2024 № 572-П
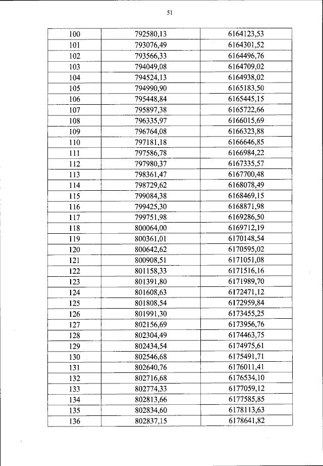
"Об установлении приаэродромной территории аэродрома гражданской авиации Усть-Мая"
(Зарегистрирован 18.07.2024 № 78855)
Номер опубликования: 0001202407190026
Дата опубликования: 19.07.2024
Страница №52 из 64:
Увеличить