Официальное опубликование правовых актов
ОФИЦИАЛЬНОЕ ОПУБЛИКОВАНИЕ
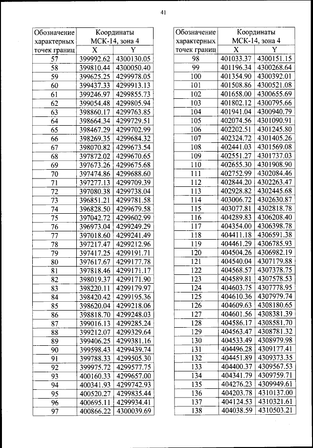
Приказ Федерального агентства воздушного транспорта от 13.06.2024 № 557-П
"Об установлении приаэродромной территории аэродрома гражданской авиации Нерюнгри"
(Зарегистрирован 12.07.2024 № 78809)
Номер опубликования: 0001202407150011
Дата опубликования: 15.07.2024
Страница №42 из 560:
Увеличить