Официальное опубликование правовых актов
ОФИЦИАЛЬНОЕ ОПУБЛИКОВАНИЕ
Приказ Федерального агентства водных ресурсов от 27.05.2024 № 125
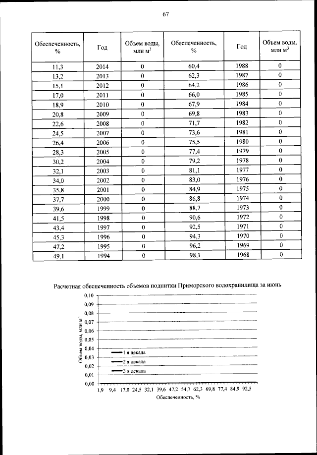
"Об утверждении Правил использования водных ресурсов Приморского водохранилища"
(Зарегистрирован 09.07.2024 № 78784)
Номер опубликования: 0001202407100004
Дата опубликования: 10.07.2024
Страница №90 из 152:
Увеличить