Официальное опубликование правовых актов
ОФИЦИАЛЬНОЕ ОПУБЛИКОВАНИЕ
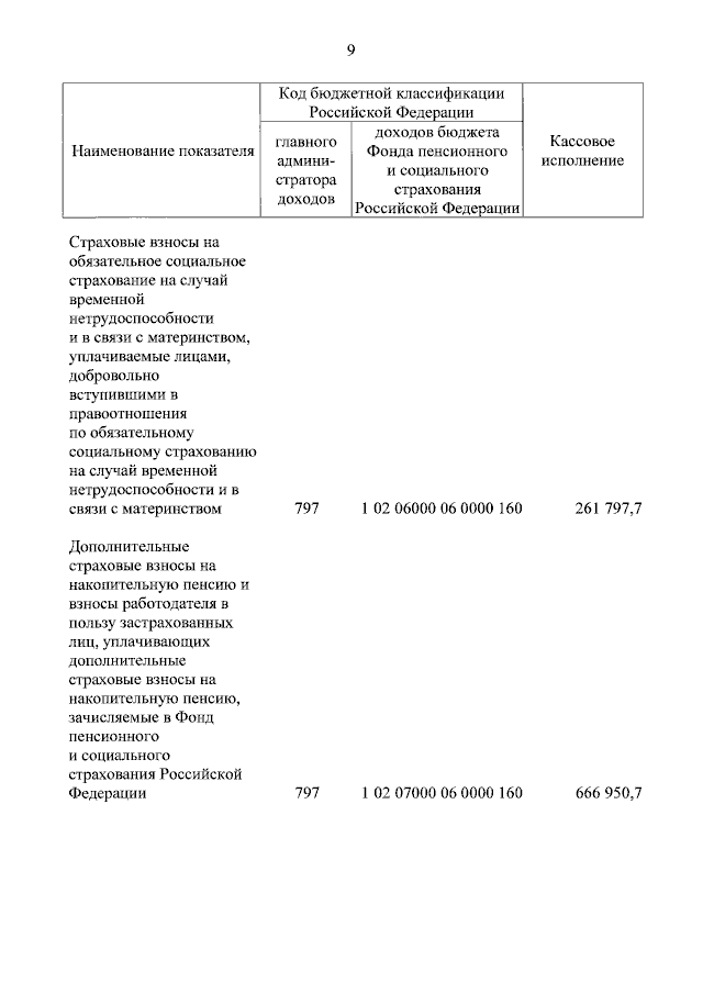
Федеральный закон от 08.07.2024 № 162-ФЗ
"Об исполнении бюджета Фонда пенсионного и социального страхования Российской Федерации за 2023 год"
Номер опубликования: 0001202407080043
Дата опубликования: 08.07.2024
Страница №9 из 250:
Увеличить