Официальное опубликование правовых актов
ОФИЦИАЛЬНОЕ ОПУБЛИКОВАНИЕ
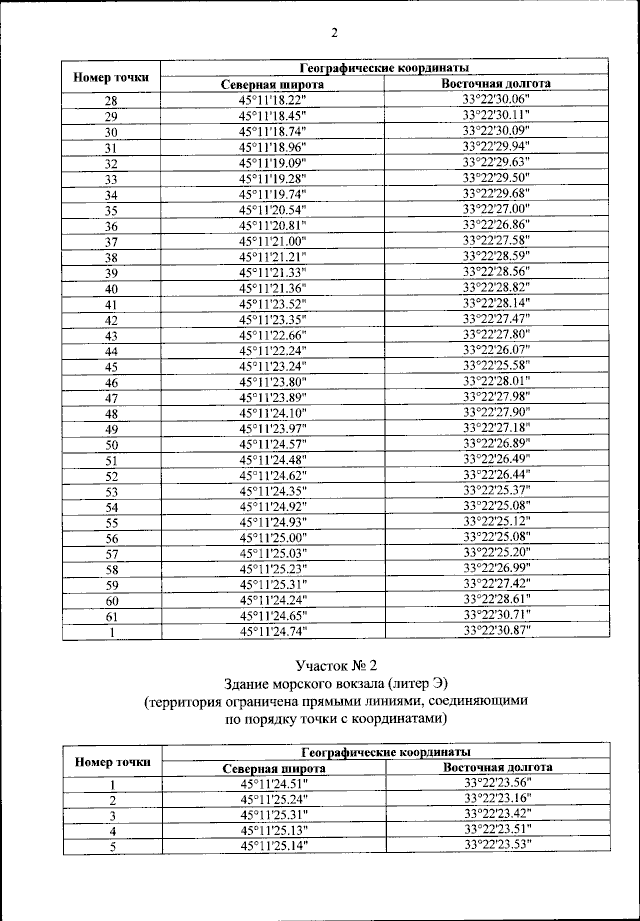
Приказ Министерства транспорта Российской Федерации от 23.05.2024 № 187
"Об утверждении пределов морского грузо-пассажирского постоянного многостороннего пункта пропуска через государственную границу Российской Федерации в морском порту Евпатория (Республика Крым)"
(Зарегистрирован 02.07.2024 № 78732)
Номер опубликования: 0001202407030007
Дата опубликования: 03.07.2024
Страница №3 из 7:
Увеличить