Официальное опубликование правовых актов
ОФИЦИАЛЬНОЕ ОПУБЛИКОВАНИЕ
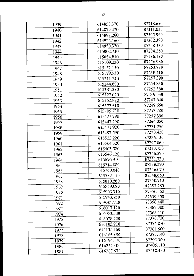
Приказ Министерства природных ресурсов и экологии Российской Федерации от 06.02.2024 № 85
"Об установлении границ охранной зоны национального парка "Красноярские Столбы", а также об утверждении Положения о данной охранной зоне"
(Зарегистрирован 18.06.2024 № 78590)
Номер опубликования: 0001202406190001
Дата опубликования: 19.06.2024
Страница №48 из 110:
Увеличить