Официальное опубликование правовых актов
ОФИЦИАЛЬНОЕ ОПУБЛИКОВАНИЕ
Приказ Федерального агентства водных ресурсов от 06.05.2024 № 100
"Об утверждении Правил использования водных ресурсов Берестовецкого водохранилища"
(Зарегистрирован 13.06.2024 № 78541)
Номер опубликования: 0001202406140017
Дата опубликования: 14.06.2024
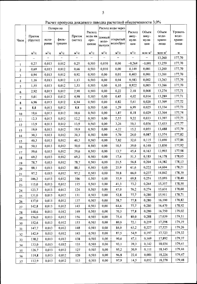
Страница №100 из 105:
Увеличить