Официальное опубликование правовых актов
ОФИЦИАЛЬНОЕ ОПУБЛИКОВАНИЕ
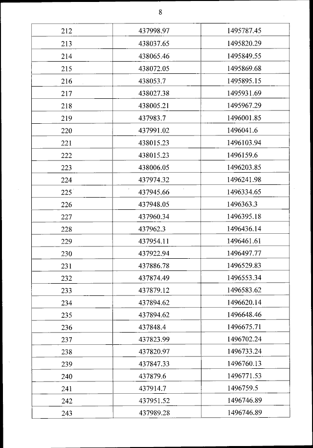
Приказ Министерства природных ресурсов и экологии Российской Федерации от 27.04.2024 № 246
"Об утверждении Положения о государственном природном заказнике федерального значения "Канозерский"
(Зарегистрирован 03.06.2024 № 78449)
Номер опубликования: 0001202406040008
Дата опубликования: 04.06.2024
Страница №16 из 113:
Увеличить