Официальное опубликование правовых актов
ОФИЦИАЛЬНОЕ ОПУБЛИКОВАНИЕ
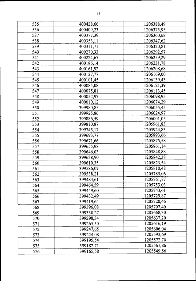
Приказ Министерства природных ресурсов и экологии Российской Федерации от 19.02.2024 № 122
"О внесении изменений в приказ Министерства природных ресурсов и экологии Российской Федерации от 27 апреля 2022 г. № 306 "Об установлении границ охранной зоны национального парка "Куршская коса" по границе с акваторией Балтийского моря, а также об утверждении Положения о данной охранной зоне"
(Зарегистрирован 24.05.2024 № 78270)
Номер опубликования: 0001202405270001
Дата опубликования: 27.05.2024
Страница №16 из 33:
Увеличить