Официальное опубликование правовых актов
ОФИЦИАЛЬНОЕ ОПУБЛИКОВАНИЕ
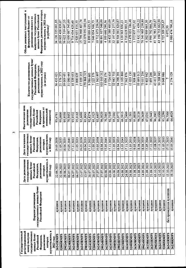
Приказ Министерства финансов Российской Федерации от 26.01.2024 № 6н
"Об утверждении Отчета об итогах эмиссии государственных ценных бумаг Российской Федерации в 2023 году"
(Зарегистрирован 05.04.2024 № 77788)
Номер опубликования: 0001202404080009
Дата опубликования: 08.04.2024
Страница №4 из 5:
Увеличить