Приказ Министерства транспорта Российской Федерации от 04.03.2024 № 74
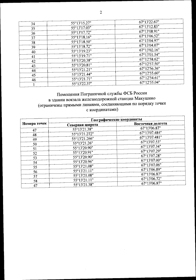
"Об утверждении пределов железнодорожного грузо-пассажирского временного многостороннего пункта пропуска через государственную границу Российской Федерации Макушино (Курганская область)"
(Зарегистрирован 25.03.2024 № 77613)
"Об утверждении пределов железнодорожного грузо-пассажирского временного многостороннего пункта пропуска через государственную границу Российской Федерации Макушино (Курганская область)"
(Зарегистрирован 25.03.2024 № 77613)
Номер опубликования: 0001202403250020
Дата опубликования:
25.03.2024
