Официальное опубликование правовых актов
ОФИЦИАЛЬНОЕ ОПУБЛИКОВАНИЕ
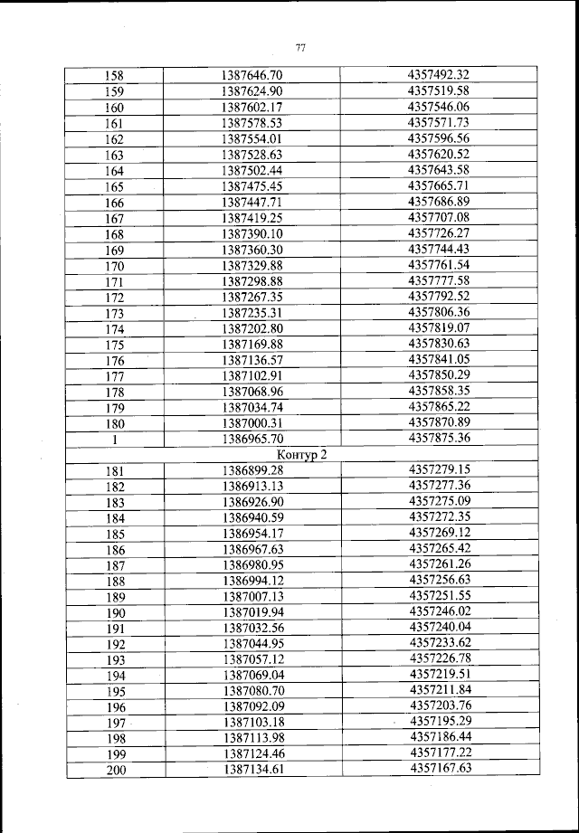
Приказ Федерального агентства воздушного транспорта от 19.02.2024 № 173-П
"Об установлении приаэродромной территории аэродрома гражданской авиации Ербогачен"
(Зарегистрирован 21.03.2024 № 77578)
Номер опубликования: 0001202403220008
Дата опубликования: 22.03.2024
Страница №78 из 132:
Увеличить