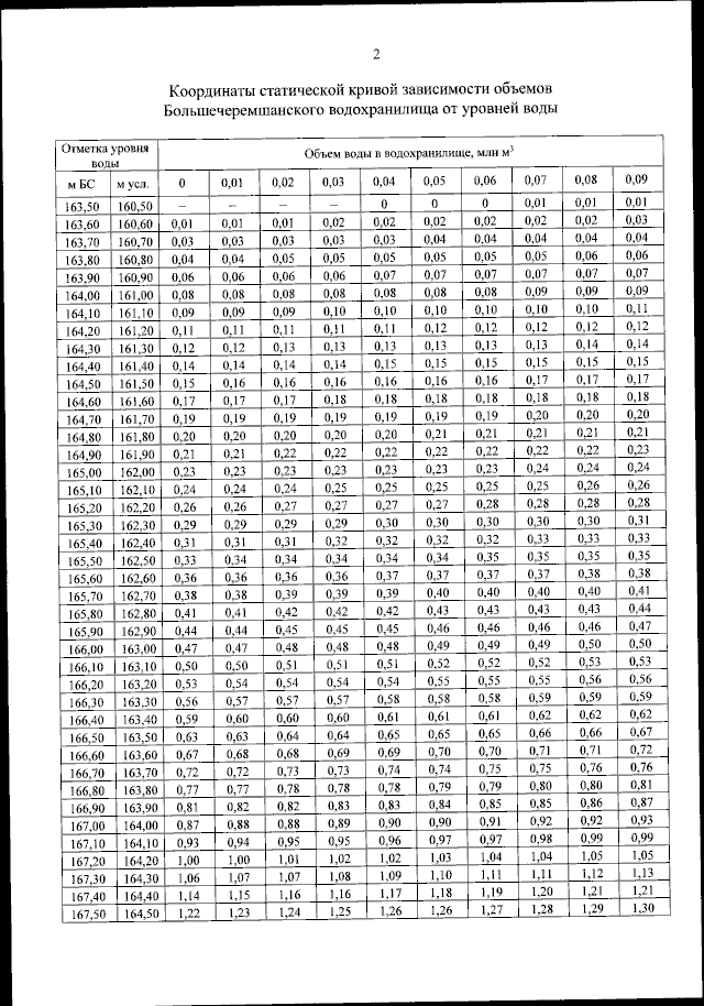
Приказ Федерального агентства водных ресурсов от 19.12.2023 № 322
"Об утверждении Правил использования водных ресурсов Большечеремшанского водохранилища"
(Зарегистрирован 19.03.2024 № 77553)
"Об утверждении Правил использования водных ресурсов Большечеремшанского водохранилища"
(Зарегистрирован 19.03.2024 № 77553)
Номер опубликования: 0001202403200003
Дата опубликования:
20.03.2024
