Официальное опубликование правовых актов
ОФИЦИАЛЬНОЕ ОПУБЛИКОВАНИЕ
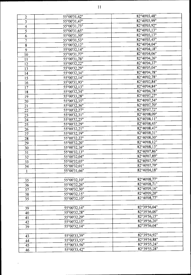
Приказ Министерства транспорта Российской Федерации от 13.02.2024 № 56
"Об открытии воздушного грузо-пассажирского постоянного многостороннего пункта пропуска через государственную границу Российской Федерации в международном аэропорту Новосибирск (Толмачево) (Новосибирская область) и об утверждении пределов данного пункта пропуска через государственную границу Российской Федерации"
(Зарегистрирован 15.03.2024 № 77528)
Номер опубликования: 0001202403180001
Дата опубликования: 18.03.2024
Страница №12 из 17:
Увеличить