Официальное опубликование правовых актов
ОФИЦИАЛЬНОЕ ОПУБЛИКОВАНИЕ
Приказ Федерального агентства воздушного транспорта от 01.02.2024 № 108-П
"Об установлении приаэродромной территории аэродрома гражданской авиации Байкит"
(Зарегистрирован 05.03.2024 № 77412)
Номер опубликования: 0001202403050003
Дата опубликования: 05.03.2024
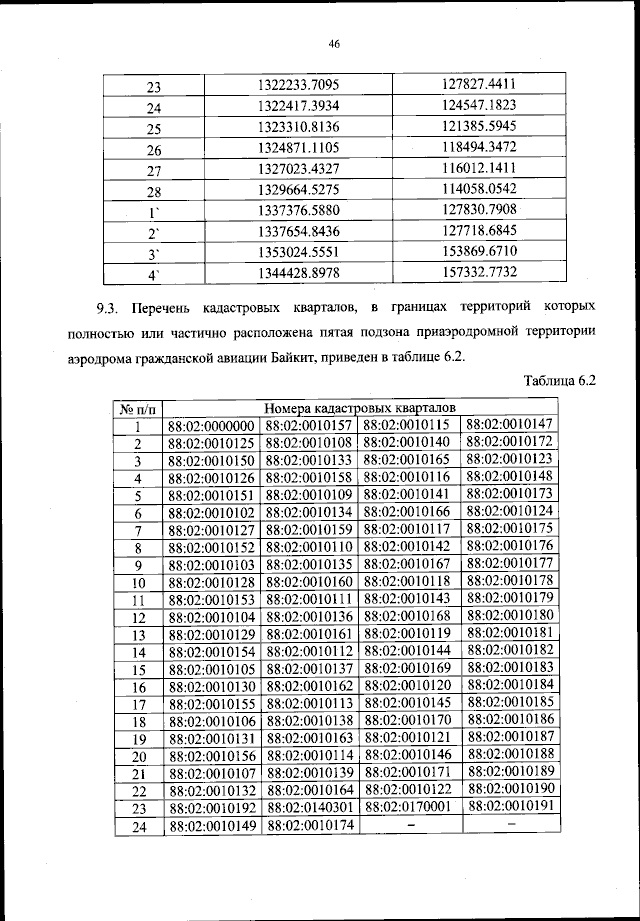
Страница №47 из 59:
Увеличить