Официальное опубликование правовых актов
ОФИЦИАЛЬНОЕ ОПУБЛИКОВАНИЕ
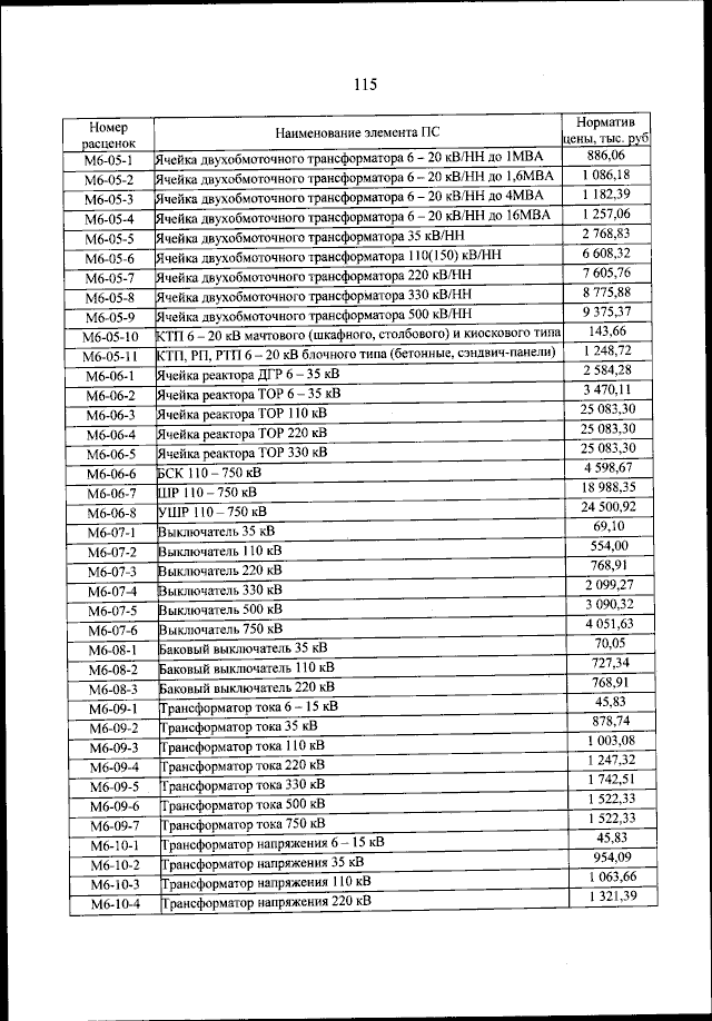
Приказ Министерства энергетики Российской Федерации от 26.02.2024 № 131
"Об утверждении укрупненных нормативов цены типовых технологических решений капитального строительства объектов электроэнергетики в части объектов электросетевого хозяйства"
(Зарегистрирован 01.03.2024 № 77401)
Номер опубликования: 0001202403010042
Дата опубликования: 01.03.2024
Страница №117 из 278:
Увеличить