Официальное опубликование правовых актов
ОФИЦИАЛЬНОЕ ОПУБЛИКОВАНИЕ
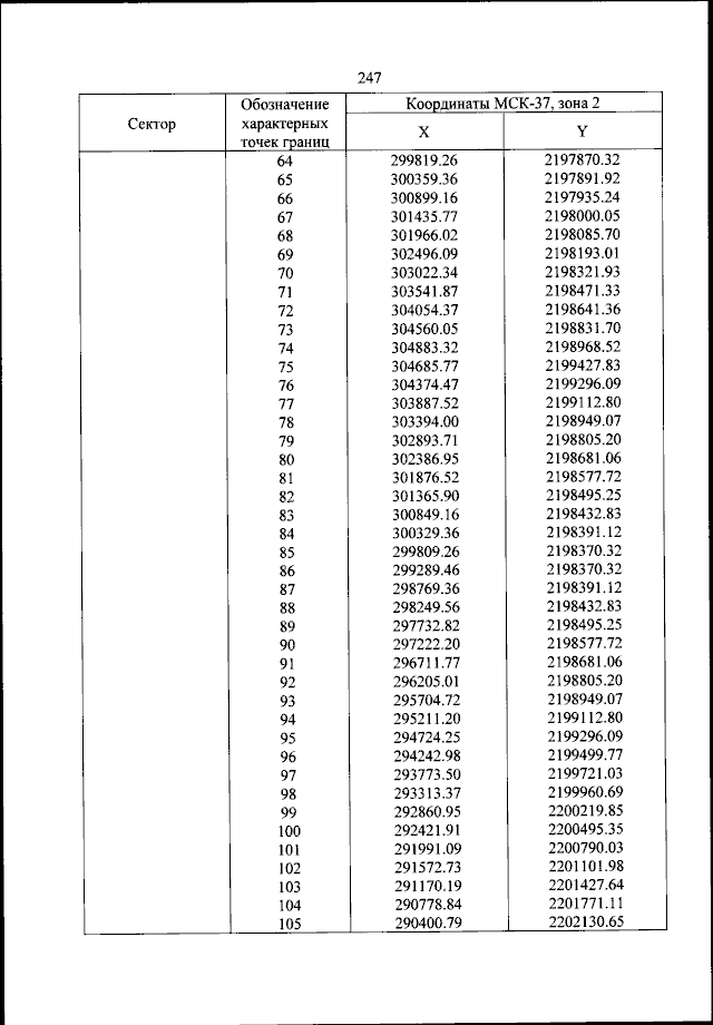
Приказ Федерального агентства воздушного транспорта от 15.01.2024 № 14-П
"Об установлении приаэродромной территории аэродрома гражданской авиации Иваново (Южный)"
(Зарегистрирован 12.02.2024 № 77233)
Номер опубликования: 0001202402130013
Дата опубликования: 13.02.2024
Страница №248 из 493:
Увеличить