Официальное опубликование правовых актов
ОФИЦИАЛЬНОЕ ОПУБЛИКОВАНИЕ
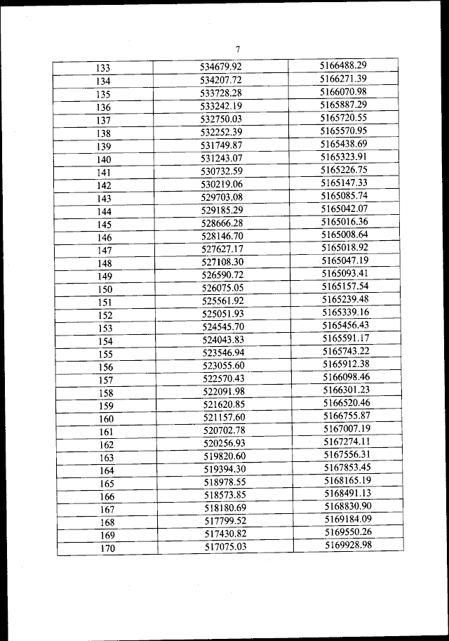
Приказ Федерального агентства воздушного транспорта от 21.12.2023 № 1176-П
"Об установлении приаэродромной территории аэродрома гражданской авиации Великий Устюг"
(Зарегистрирован 29.01.2024 № 77034)
Номер опубликования: 0001202401300003
Дата опубликования: 30.01.2024
Страница №8 из 138:
Увеличить