Официальное опубликование правовых актов
ОФИЦИАЛЬНОЕ ОПУБЛИКОВАНИЕ
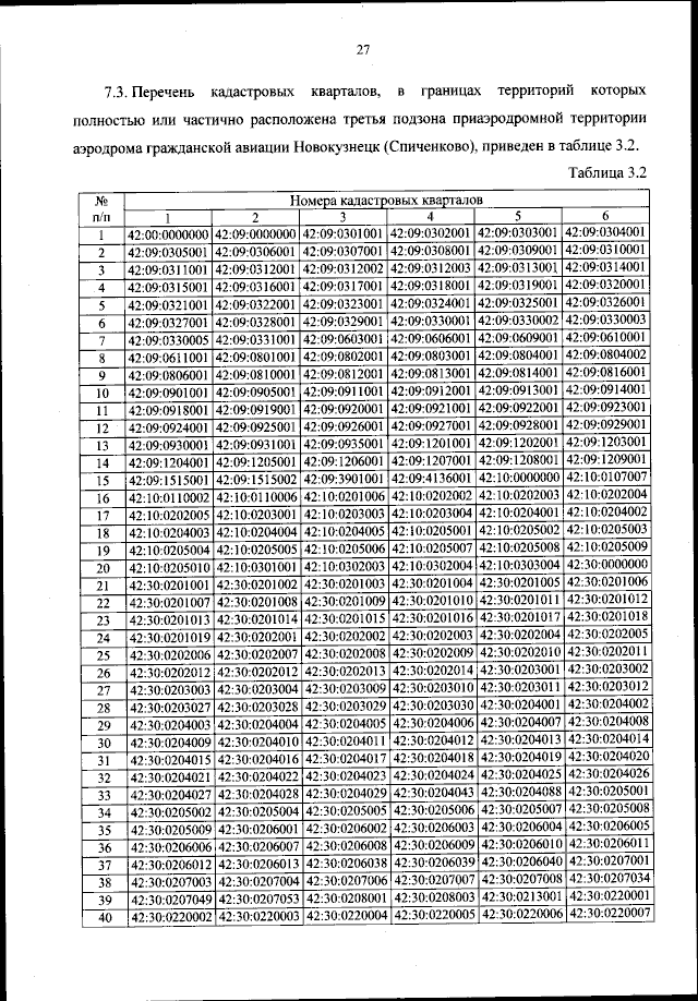
Приказ Федерального агентства воздушного транспорта от 21.12.2023 № 1174-П
"Об установлении приаэродромной территории аэродрома гражданской авиации Новокузнецк (Спиченково)"
(Зарегистрирован 29.01.2024 № 77035)
Номер опубликования: 0001202401300002
Дата опубликования: 30.01.2024
Страница №28 из 443:
Увеличить