Официальное опубликование правовых актов
ОФИЦИАЛЬНОЕ ОПУБЛИКОВАНИЕ
Постановление Правительства Российской Федерации от 29.12.2023 № 2414
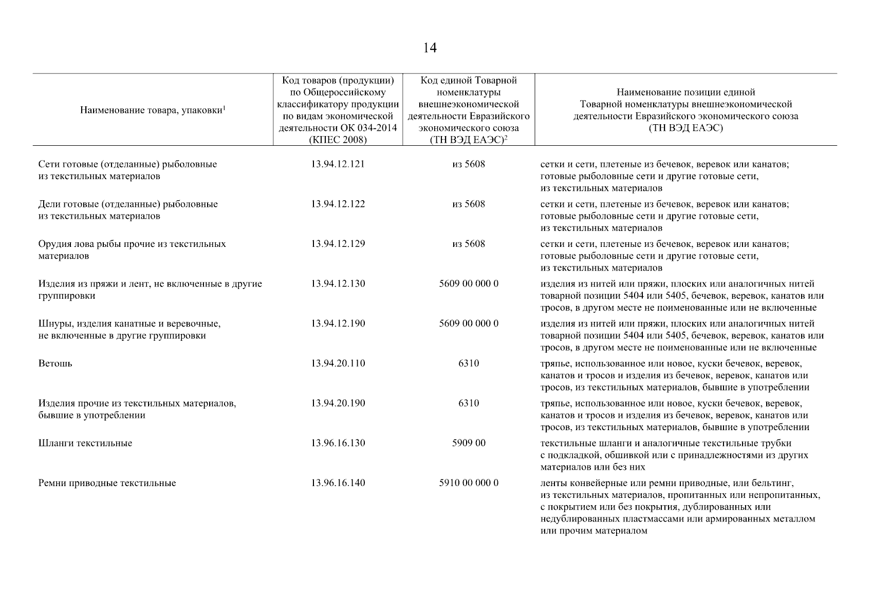
"Об утверждении перечней товаров, упаковки, отходы от использования которых подлежат утилизации, и нормативов утилизации отходов от использования товаров, упаковки"
Номер опубликования: 0001202312310011
Дата опубликования: 31.12.2023
Страница №124 из 334:
Увеличить