Официальное опубликование правовых актов
ОФИЦИАЛЬНОЕ ОПУБЛИКОВАНИЕ
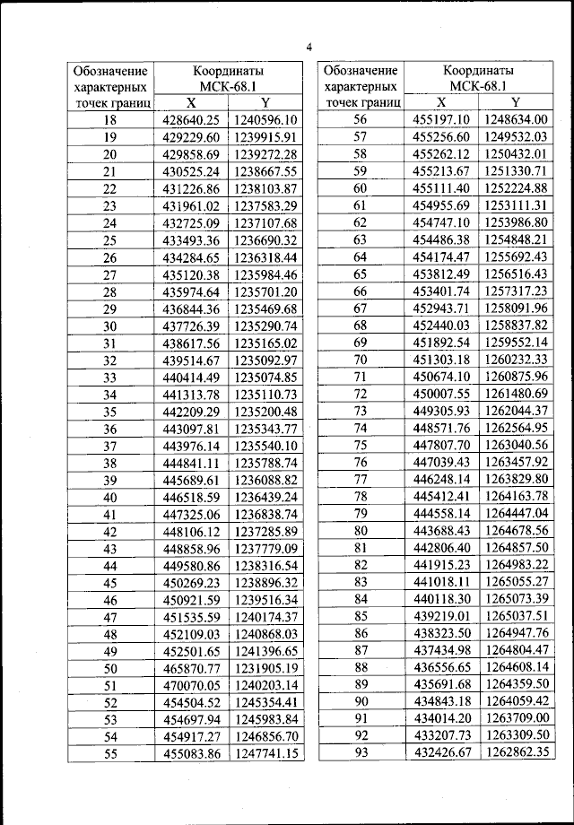
Приказ Федерального агентства воздушного транспорта от 07.12.2023 № 1113-П
"Об установлении приаэродромной территории аэродрома гражданской авиации Тамбов (Донское)"
(Зарегистрирован 29.12.2023 № 76744)
Номер опубликования: 0001202312290063
Дата опубликования: 29.12.2023
Страница №5 из 155:
Увеличить