Официальное опубликование правовых актов
ОФИЦИАЛЬНОЕ ОПУБЛИКОВАНИЕ
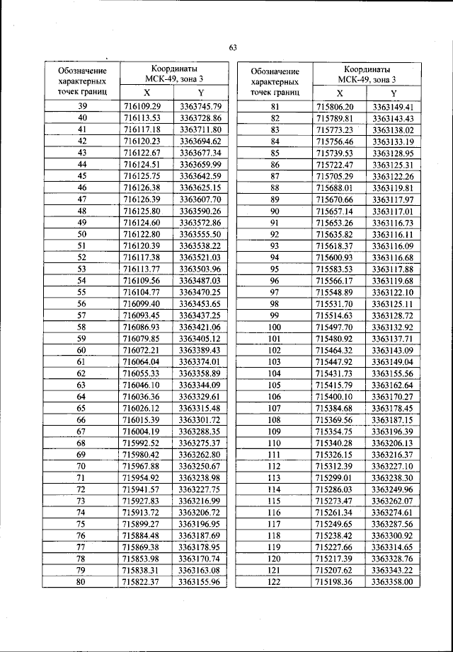
Приказ Федерального агентства воздушного транспорта от 05.12.2023 № 1103-П
"Об установлении приаэродромной территории аэродрома гражданской авиации Омсукчан"
(Зарегистрирован 29.12.2023 № 76736)
Номер опубликования: 0001202312290029
Дата опубликования: 29.12.2023
Страница №64 из 111:
Увеличить