Официальное опубликование правовых актов
ОФИЦИАЛЬНОЕ ОПУБЛИКОВАНИЕ
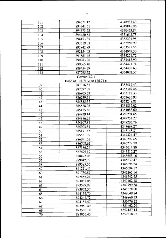
Приказ Федерального агентства воздушного транспорта от 05.12.2023 № 1102-П
"Об установлении приаэродромной территории аэродрома гражданской авиации Богородское"
(Зарегистрирован 29.12.2023 № 76737)
Номер опубликования: 0001202312290027
Дата опубликования: 29.12.2023
Страница №20 из 50:
Увеличить