Официальное опубликование правовых актов
ОФИЦИАЛЬНОЕ ОПУБЛИКОВАНИЕ
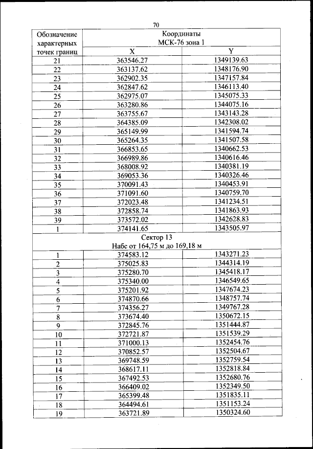
Приказ Федерального агентства воздушного транспорта от 23.11.2023 № 1062-П
"Об установлении приаэродромной территории аэродрома гражданской авиации Ярославль (Туношна)"
(Зарегистрирован 25.12.2023 № 76603)
Номер опубликования: 0001202312260012
Дата опубликования: 26.12.2023
Страница №71 из 110:
Увеличить