Официальное опубликование правовых актов
ОФИЦИАЛЬНОЕ ОПУБЛИКОВАНИЕ
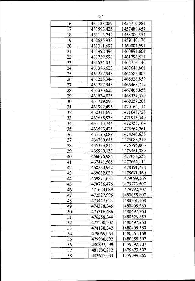
Приказ Федерального агентства воздушного транспорта от 23.11.2023 № 1061-П
"Об установлении приаэродромной территории аэродрома гражданской авиации Апатиты (Хибины)"
(Зарегистрирован 22.12.2023 № 76555)
Номер опубликования: 0001202312220047
Дата опубликования: 22.12.2023
Страница №58 из 94:
Увеличить