Официальное опубликование правовых актов
ОФИЦИАЛЬНОЕ ОПУБЛИКОВАНИЕ
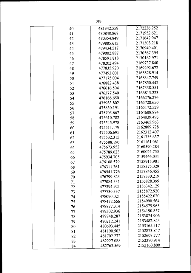
Приказ Федерального агентства воздушного транспорта от 23.11.2023 № 1060-П
"Об установлении приаэродромной территории аэродрома гражданской авиации Брянск"
(Зарегистрирован 22.12.2023 № 76549)
Номер опубликования: 0001202312220019
Дата опубликования: 22.12.2023
Страница №384 из 502:
Увеличить