Официальное опубликование правовых актов
ОФИЦИАЛЬНОЕ ОПУБЛИКОВАНИЕ
Приказ Министерства природных ресурсов и экологии Российской Федерации от 15.11.2023 № 763
"Об утверждении Положения о государственном природном заповеднике "Приволжская лесостепь"
(Зарегистрирован 20.12.2023 № 76499)
Номер опубликования: 0001202312210016
Дата опубликования: 21.12.2023
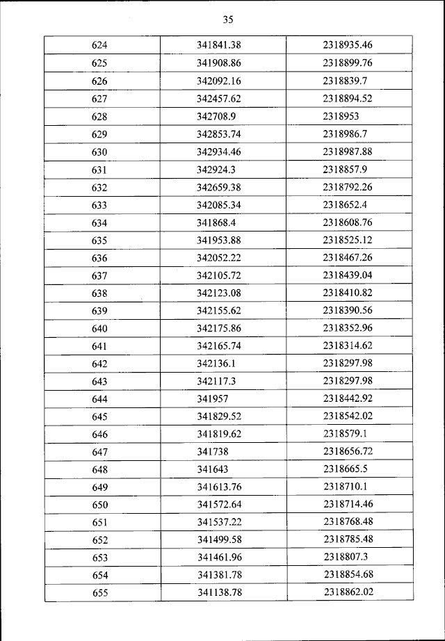
Страница №44 из 76:
Увеличить