Официальное опубликование правовых актов
ОФИЦИАЛЬНОЕ ОПУБЛИКОВАНИЕ
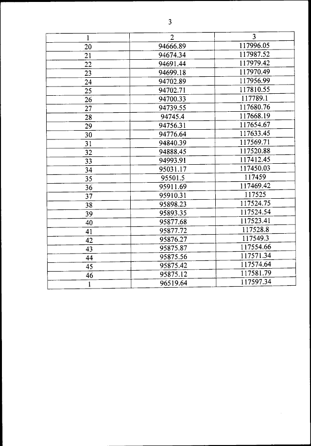
Приказ Федеральной службы охраны Российской Федерации от 18.10.2023 № 131
"Об установлении зоны охраняемого объекта (г. Санкт-Петербург, Центральный район, кадастровый квартал 78:31:0103101)"
(Зарегистрирован 13.12.2023 № 76371)
Номер опубликования: 0001202312130020
Дата опубликования: 13.12.2023
Страница №3 из 4:
Увеличить