Официальное опубликование правовых актов
ОФИЦИАЛЬНОЕ ОПУБЛИКОВАНИЕ
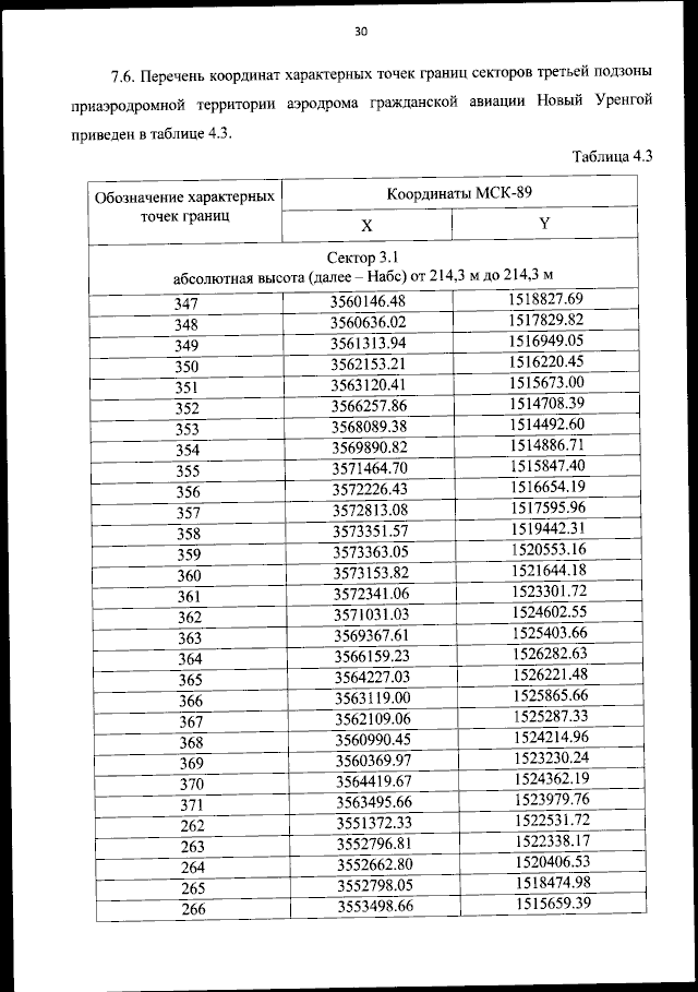
Приказ Федерального агентства воздушного транспорта от 08.11.2023 № 1000-П
"Об установлении приаэродромной территории аэродрома гражданской авиации Новый Уренгой"
(Зарегистрирован 07.12.2023 № 76318)
Номер опубликования: 0001202312080025
Дата опубликования: 08.12.2023
Страница №31 из 124:
Увеличить