Официальное опубликование правовых актов
ОФИЦИАЛЬНОЕ ОПУБЛИКОВАНИЕ
Приказ Федеральной антимонопольной службы от 28.11.2023 № 910/23
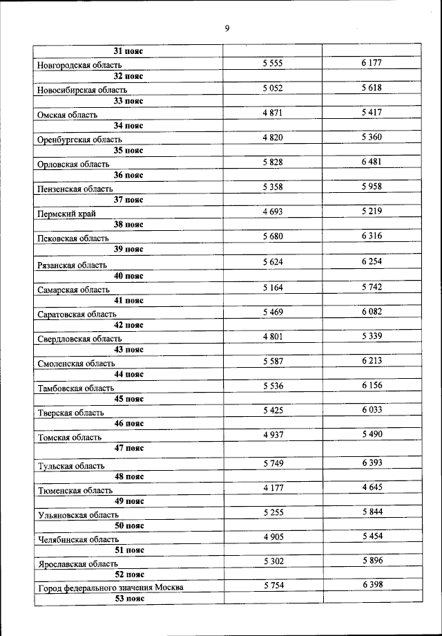
"Об утверждении оптовых цен на газ, добываемый ПАО «Газпром» и его аффилированными лицами, реализуемый организациям, осуществляющим по состоянию на 1 декабря 2023 г. в качестве основного вида экономической деятельности производство электроэнергии тепловыми электростанциями, производство, передачу и распределение пара и горячей воды тепловыми электростанциями и (или) котельными с кодами ОКВЭД 35.11.1‚ 35.30.11, 35.30.14, 35.30.2‚ 35.30.3, организациям, осуществляющим деятельность с указанными кодами ОКВЭД в качестве дополнительного вида экономической деятельности при условии осуществления ими в качестве основного вида экономической деятельности с кодами ОКВЭД 35.11, 35.3, 35.30, 35.30.1‚ 68.32.1, организациям, выручка от реализации тепловой и (или) электрической энергии (мощности) которых составляет не менее 75 процентов общей выручки, организациям, выручка от реализации тепловой и (или) электрической энергии (мощности) которых составляет менее 75 процентов общей выручки, приобретающим газ в объемах, необходимых для производства и реализации тепловой и (или) электрической энергии (мощности) по регулируемым ценам (тарифам), либо организациям-недропользователям (коды ОКВЭД 06.10.1, 06.20) и (или) их аффилированным лицам, не входящим с такими недропользователями в одну группу компаний‚ или организациям, осуществляющим в качестве основного вида экономической деятельности распределение газообразного топлива по газораспределительным сетям и торговлю твердым, жидким и газообразным топливом и подобными продуктами с кодами ОКВЭД 35.22, 46.71, приобретающим газ для перепродажи потребителям, относящимся к организациям, осуществляющим по состоянию на 1 декабря 2023 г. в качестве основного вида экономической деятельности производство электроэнергии тепловыми электростанциями, производство, передачу и распределение пара и горячей воды тепловыми электростанциями и (или) котельными с кодами ОКВЭД 35.11.1, 35.30.11, 35.30.14, 35.30.2, 35.30.3, организациям, осуществляющим деятельность с указанными кодами ОКВЭД в качестве дополнительного вида экономической деятельности при условии осуществления ими в качестве основного вида экономической деятельности с кодами ОКВЭД 35.11, 35.3, 35.30, 35.30.1, 68.32.1 организациям, выручка от реализации тепловой и (или) электрической энергии (мощности) которых составляет не менее 75 процентов общей выручки, организациям, выручка от реализации тепловой и (или) электрической энергии (мощности) которых составляет менее 75 процентов общей выручки, приобретающим газ в объемах, необходимых для производства и реализации тепловой и (или) электрической энергии (мощности) по регулируемым ценам (тарифам), кроме потребителей Российской Федерации, указанных в пунктах 15.1 и 15.1.1 Основных положений формирования и государственного регулирования цен на газ, тарифов на услуги по его транспортировке, платы за технологическое присоединение газоиспользующего оборудования к газораспределительным сетям на территории Российской Федерации"
(Зарегистрирован 01.12.2023 № 76205)
Номер опубликования: 0001202312010032
Дата опубликования: 01.12.2023
Страница №9 из 10:
Увеличить