Официальное опубликование правовых актов
ОФИЦИАЛЬНОЕ ОПУБЛИКОВАНИЕ
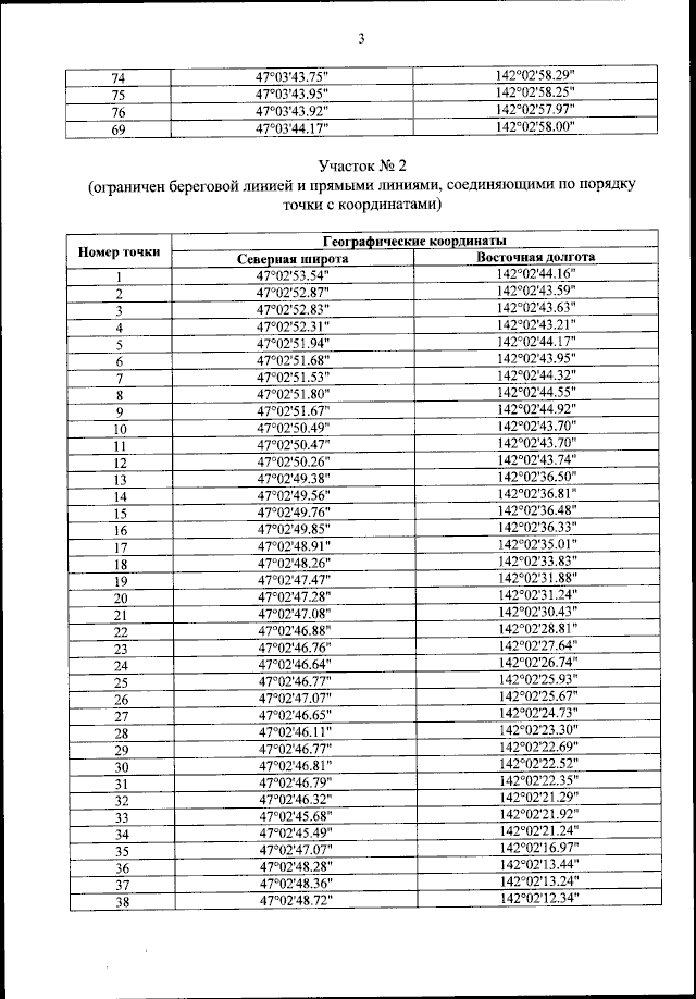
Приказ Министерства транспорта Российской Федерации от 08.11.2023 № 370
"Об утверждении пределов морского грузо-пассажирского постоянного многостороннего пункта пропуска через государственную границу Российской Федерации в морском порту Холмск (Сахалинская область)"
(Зарегистрирован 29.11.2023 № 76149)
Номер опубликования: 0001202311290024
Дата опубликования: 29.11.2023
Страница №4 из 6:
Увеличить