Официальное опубликование правовых актов
ОФИЦИАЛЬНОЕ ОПУБЛИКОВАНИЕ
Приказ Министерства транспорта Российской Федерации от 09.11.2023 № 371
"Об открытии воздушного грузо-пассажирского постоянного многостороннего пункта пропуска через государственную границу Российской Федерации в международном аэропорту Минеральные Воды (Ставропольский край) и об утверждении пределов данного пункта пропуска через государственную границу Российской Федерации"
(Зарегистрирован 29.11.2023 № 76150)
Номер опубликования: 0001202311290022
Дата опубликования: 29.11.2023
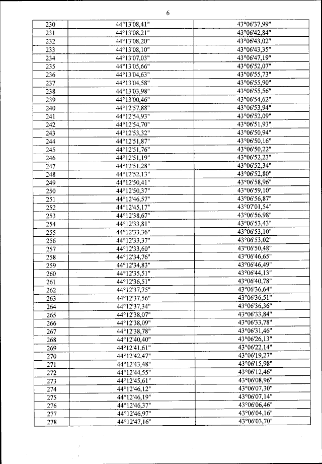
Страница №8 из 19:
Увеличить