Официальное опубликование правовых актов
ОФИЦИАЛЬНОЕ ОПУБЛИКОВАНИЕ
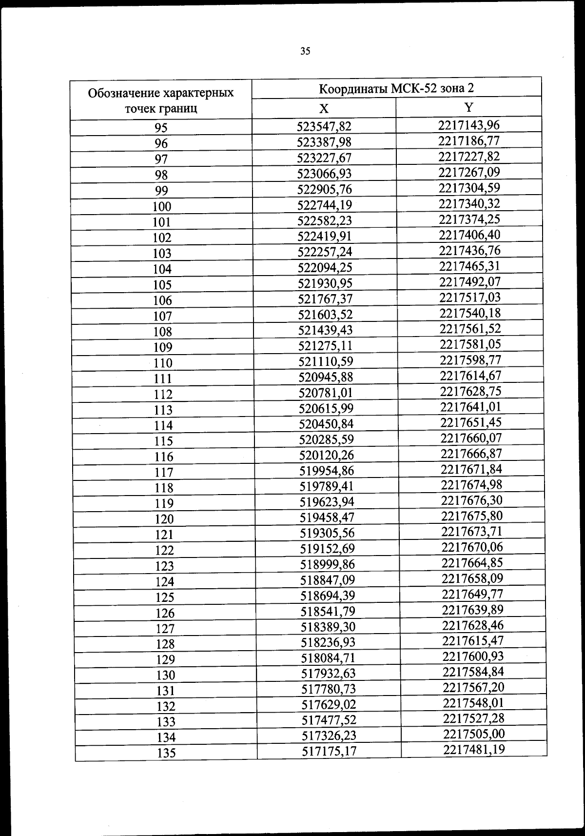
Приказ Федерального агентства воздушного транспорта от 26.10.2023 № 954-П
"Об установлении приаэродромной территории аэродрома гражданской авиации Нижний Новгород (Стригино)"
(Зарегистрирован 21.11.2023 № 76034)
Номер опубликования: 0001202311210010
Дата опубликования: 21.11.2023
Страница №36 из 658:
Увеличить