Официальное опубликование правовых актов
ОФИЦИАЛЬНОЕ ОПУБЛИКОВАНИЕ
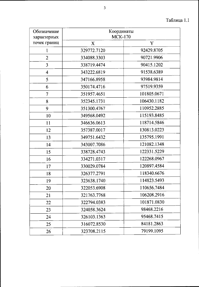
Приказ Федерального агентства воздушного транспорта от 12.09.2023 № 769-П
"Об установлении приаэродромной территории аэродрома гражданской авиации Ванавара"
(Зарегистрирован 11.10.2023 № 75530)
Номер опубликования: 0001202310110002
Дата опубликования: 11.10.2023
Страница №4 из 59:
Увеличить