Официальное опубликование правовых актов
ОФИЦИАЛЬНОЕ ОПУБЛИКОВАНИЕ
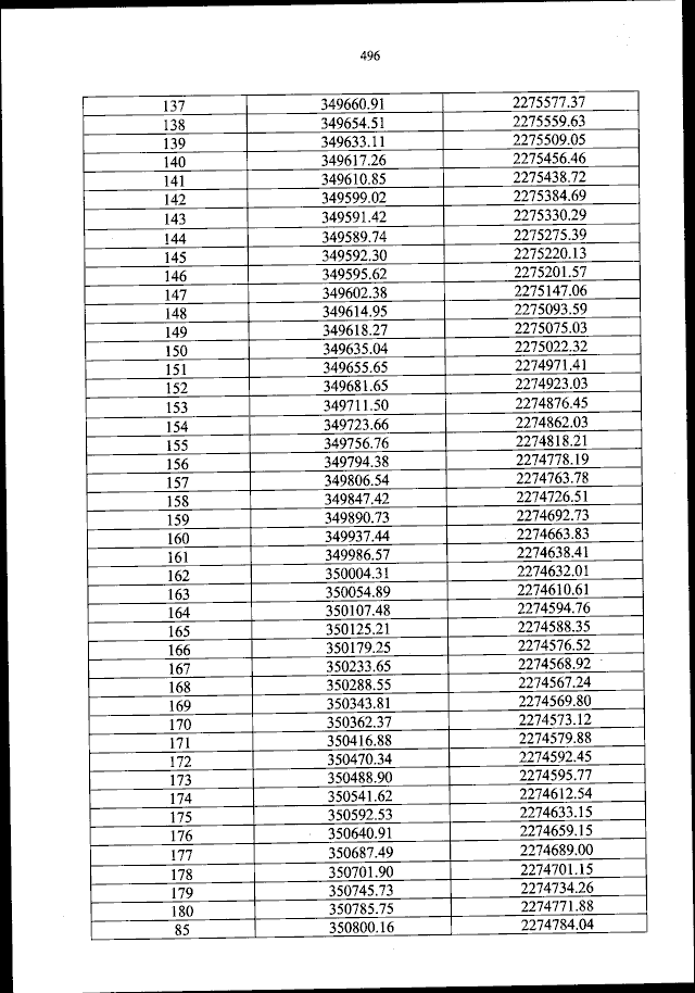
Приказ Федерального агентства воздушного транспорта от 04.09.2023 № 730-П
"Об установлении приаэродромной территории аэродрома гражданской авиации Ростов-на-Дону (Платов)"
(Зарегистрирован 29.09.2023 № 75415)
Номер опубликования: 0001202310020026
Дата опубликования: 02.10.2023
Страница №498 из 565:
Увеличить