Официальное опубликование правовых актов
ОФИЦИАЛЬНОЕ ОПУБЛИКОВАНИЕ
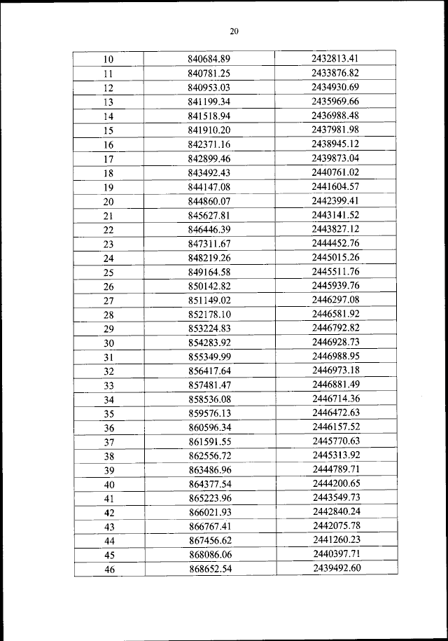
Приказ Федерального агентства воздушного транспорта от 04.09.2023 № 732-П
"Об установлении приаэродромной территории аэродрома гражданской авиации Урай"
(Зарегистрирован 29.09.2023 № 75383)
Номер опубликования: 0001202309290006
Дата опубликования: 29.09.2023
Страница №21 из 99:
Увеличить