Официальное опубликование правовых актов
ОФИЦИАЛЬНОЕ ОПУБЛИКОВАНИЕ
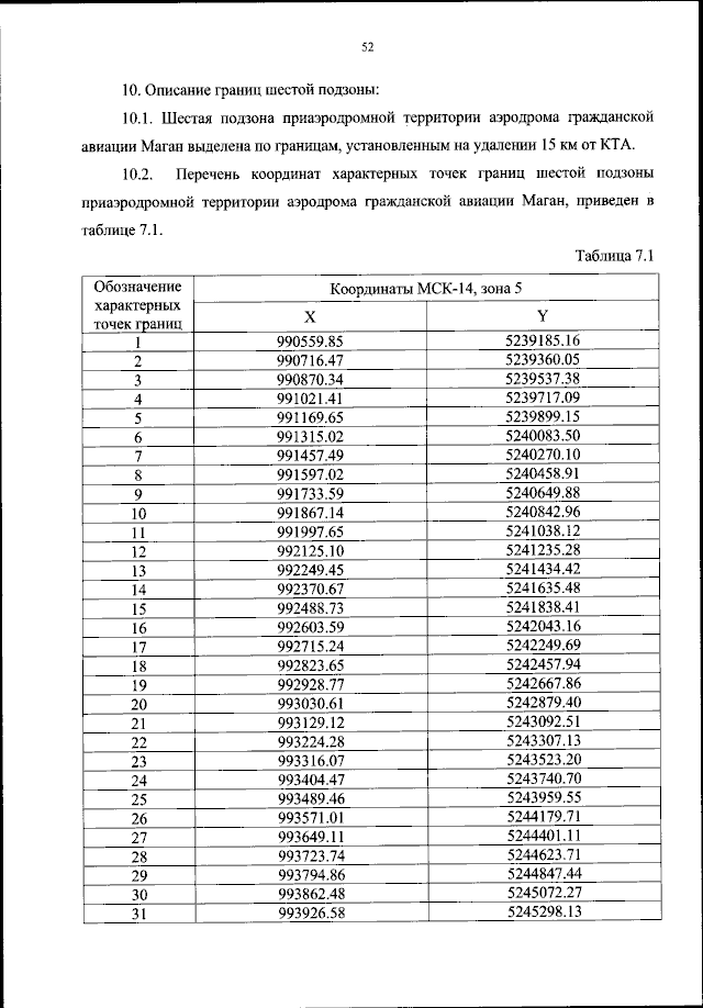
Приказ Федерального агентства воздушного транспорта от 15.08.2023 № 663-П
"Об установлении приаэродромной территории аэродрома гражданской авиации Маган"
(Зарегистрирован 26.09.2023 № 75339)
Номер опубликования: 0001202309270005
Дата опубликования: 27.09.2023
Страница №53 из 76:
Увеличить