Официальное опубликование правовых актов
ОФИЦИАЛЬНОЕ ОПУБЛИКОВАНИЕ
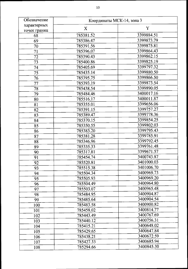
Приказ Федерального агентства воздушного транспорта от 24.07.2023 № 562-П
"Об установлении приаэродромной территории аэродрома гражданской авиации Олекминск"
(Зарегистрирован 22.08.2023 № 74919)
Номер опубликования: 0001202308230006
Дата опубликования: 23.08.2023
Страница №11 из 59:
Увеличить