Официальное опубликование правовых актов
ОФИЦИАЛЬНОЕ ОПУБЛИКОВАНИЕ
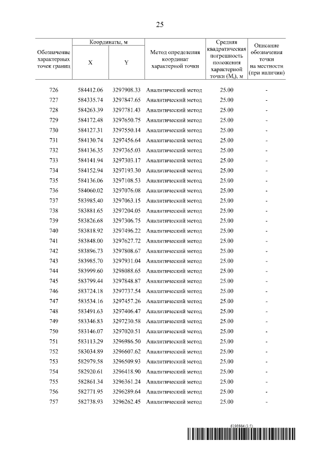
Распоряжение Правительства Российской Федерации от 19.08.2023 № 2243-р
Номер опубликования: 0001202308230001
Дата опубликования: 23.08.2023
Страница №26 из 856:
Увеличить