Официальное опубликование правовых актов
ОФИЦИАЛЬНОЕ ОПУБЛИКОВАНИЕ
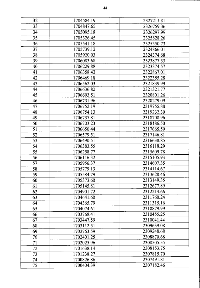
Приказ Федерального агентства воздушного транспорта от 20.07.2023 № 547-П
"Об установлении приаэродромной территории аэродрома гражданской авиации Оленек"
(Зарегистрирован 17.08.2023 № 74826)
Номер опубликования: 0001202308170020
Дата опубликования: 17.08.2023
Страница №45 из 63:
Увеличить