Официальное опубликование правовых актов
ОФИЦИАЛЬНОЕ ОПУБЛИКОВАНИЕ
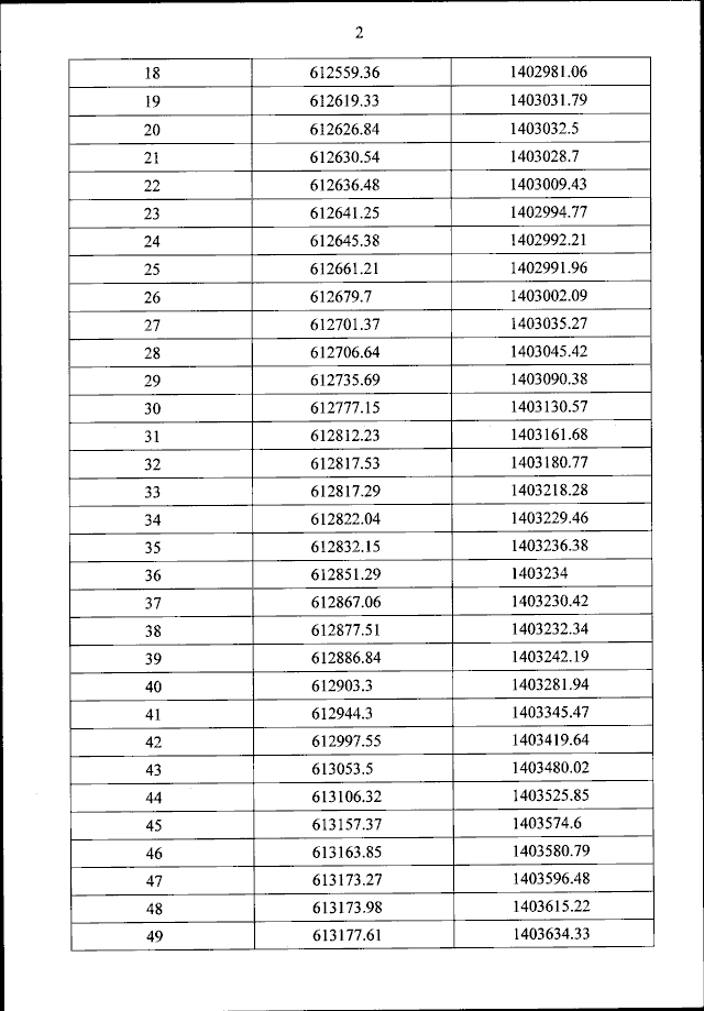
Приказ Министерства природных ресурсов и экологии Российской Федерации от 17.07.2023 № 432
"Об утверждении Положения о государственном природном заказнике федерального значения "Туломский"
(Зарегистрирован 15.08.2023 № 74804)
Номер опубликования: 0001202308160003
Дата опубликования: 16.08.2023
Страница №9 из 54:
Увеличить