Официальное опубликование правовых актов
ОФИЦИАЛЬНОЕ ОПУБЛИКОВАНИЕ
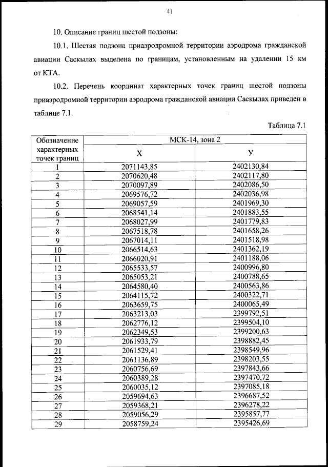
Приказ Федерального агентства воздушного транспорта от 14.07.2023 № 531-П
"Об установлении приаэродромной территории аэродрома гражданской авиации Саскылах"
(Зарегистрирован 14.08.2023 № 74780)
Номер опубликования: 0001202308150008
Дата опубликования: 15.08.2023
Страница №42 из 63:
Увеличить